Um aluno mandou uma dúvida sobre este assunto que compartilho com vocês agora. Ela trata sobre o MMC de expressões algébricas que caiu na prova da EEAR. Essa é uma questão antiga deste concurso e, atualmente, dificilmente aparecia algo nesse sentido já que o edital se concentra mais em assuntos do ensino médio atualmente.
Apesar disso, este é um assunto muito comum em provas militares (principalmente as que envolvem o conteúdo do 9º ano, tais como CN, EPCAr e Colégios Militares em geral…) e para resolvê-lo, em geral, precisamos única e exclusivamente da definição do que significa o calcular o mínimo múltiplo comum (ou MMC).
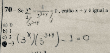
A imagem do enunciado da questão segue abaixo.
Como disse, basta aplicar a definição de MMC neste caso. Lembre-se que antes de verificar a solução logo abaixo, seria legal tentar resolver.
Veja que aparece também uma fatoração algébrica envolvendo o quadrado de uma diferença – que é um produto notável. Como falei, trata-se de uma questão simples (o que, via de regra nem sempre é fácil…), no sentido de que, conhecida a definição de MMC, o resto torna-se banal.
Ainda tem dúvida? Mais questões como essa? Conte-nos nos comentários e, até a próxima!
[LSB]










































