Mais uma dúvida resolvida. Segue o enunciado:

Queremos a variação da energia cinética entre os instantes e
s. A massa vale
kg. Então:

Nossa loja de camisetas: http://reserva.ink/equilateral









Outros conteúdos:
Até a próxima!
[LSB]
Mais uma dúvida resolvida. Segue o enunciado:

Queremos a variação da energia cinética entre os instantes e
s. A massa vale
kg. Então:

Nossa loja de camisetas: http://reserva.ink/equilateral









Outros conteúdos:
Até a próxima!
[LSB]
Segue mais uma dúvida de nossos alunos:

Cuja solução segue abaixo:

Nossa loja de camisetas: http://reserva.ink/equilateral
Segue um problema de geometria plana; simples, mas interessante.

Quesemos encontrar o valor de . A solução segue abaixo:

Até a próxima dúvida e boa semana!

















Compre em nossa loja de camisetas: www.reserva.ink/equilateral
Confira outros conteúdos:
Segue a solução de mais uma dúvida de nossos alunos.

Segue abaixo a solução:

Siga nossas redes sociais:
@projeto.mentoria_
@equilateral_camisetas
Compre em nossa loja de camisetas: www.reserva.ink/equilateral
Veja mais de nossos conteúdos:
Até a próxima!
[LSB]
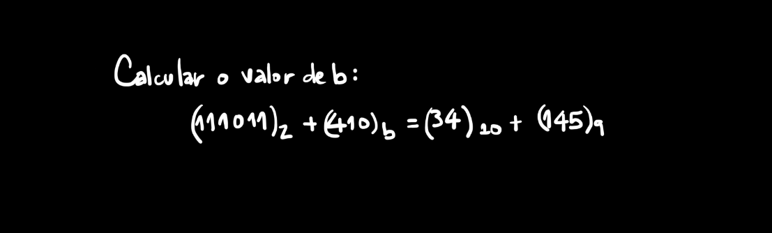
Segue mais um problema enviado por um de nossos leitores:
Cuja solução segue abaixo:
É isso, até a próxima!
[LSB]
Entre em nossa loja de camisetas: http://reserva.ink/equilateral










